For our first study with football, we wanted to determine if cardiovascular recovery from training varied among positional groups (i.e., Skill, Mid-Skill and Linemen). We also looked at some longitudinal relationships between cardiac-autonomic and training load parameters throughout spring camp.
We found that Linemen take longer to recover between training sessions than the other positions. This may have important implications for the competitive season because despite differences in recovery time among positional groups, football teams train on a fixed schedule. This may make Linemen more susceptible to developing signs and symptoms of overtraining, getting hurt or sick, etc. Fortunately, we captured data from the competitive season, too. That paper is forthcoming. Full-text link:
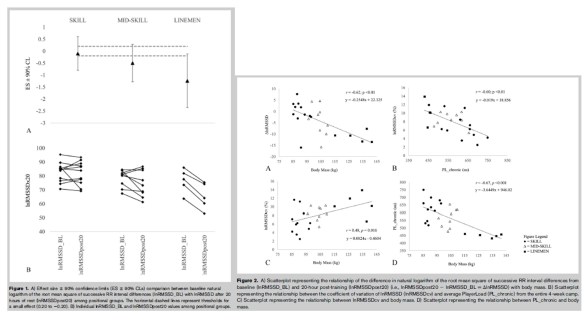
The purpose of this study was to determine whether recovery of cardiac-autonomic activity to baseline occurs between consecutive-day training sessions among positional groups of a collegiate football team during Spring camp. A secondary aim was to evaluate relationships between chronic (i.e., 4-week) heart rate variability (HRV) and training load parameters. Baseline HRV (lnRMSSD_BL) was compared with HRV after ∼20 hours of recovery before next-day training (lnRMSSDpost20) among positional groups composed of SKILL (n = 11), MID-SKILL (n = 9), and LINEMEN (n = 5) with a linear mixed model and effect sizes (ES). Pearson and partial correlations were used to quantify relationships between chronic mean and coefficient of variation (CV) of lnRMSSD (lnRMSSD_chronic and lnRMSSDcv, respectively) with the mean and CV of PlayerLoad (PL_chronic and PL_cv, respectively). A position × time interaction was observed for lnRMSSD (p = 0.01). lnRMSSD_BL was higher than lnRMSSDpost20 for LINEMEN (p < 0.01; ES = large), whereas differences for SKILL and MID-SKILL were not statistically different (p > 0.05). Players with greater body mass experienced larger reductions in lnRMSSD (r = -0.62, p < 0.01). Longitudinally, lnRMSSDcv was significantly related to body mass (r = 0.48) and PL_chronic (r = -0.60). After adjusting for body mass, lnRMSSDcv and PL_chronic remained significantly related (r = -0.43). The ∼20-hour recovery time between training sessions on consecutive days may not be adequate for restoration of cardiac-parasympathetic activity to baseline among LINEMEN. Players with a lower chronic training load throughout camp experienced greater fluctuation in lnRMSSD (i.e., lnRMSSDcv) and vice versa. Thus, a capacity for greater chronic workloads may be protective against perturbations in cardiac-autonomic homeostasis among American college football players.

Pingback: Season-long heart rate variability tracking reveals autonomic imbalance in American college football players | HRVtraining