Short summary of and full-text access to a new study from our lab.
Link to Full Text:

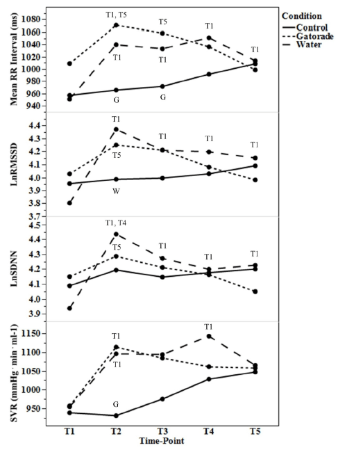
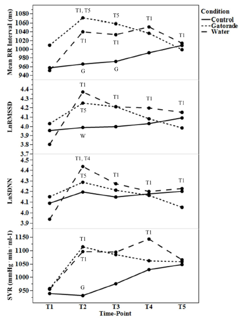
Context: we previously resorted to standardized HRV measures performed in the athletic training room with college football players to overcome non-compliance with post-waking tests.
Problem: pre-training hydration practices confound HRV measures. Players typically opt for cold bottles of water or Gatorade. Thus, we needed to determine how much and for how long these drinks impacted HRV.
Findings: Gatorade had small effects that lasted about 45 min. Effects of water were larger and persisted for 60 min.


Key points:
If measuring HRV in a lab/clinic/training facility, be mindful of recent fluid ingestion.
HRV measures obtained within 60 min of 591 ml water or 45 min of an equal volume of Gatorade will be capturing their physiology effects and result in falsely elevated values. This would result in misinterpretation of autonomic status.
This is a grreat post